LA FORESTALE
Luxury Lodge a Acqualagna Pesaro

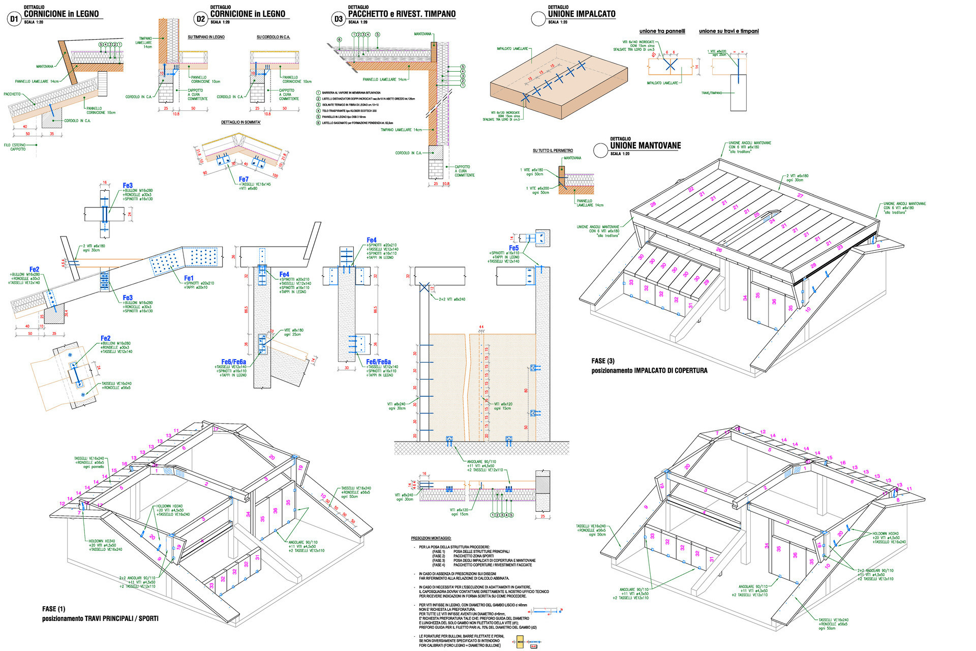
Una caserma della Guardia Forestale abbandonata da decenni viene rigenerata da Eric Merlin, il nostro committente francese, in un Hotel di charme per un autentico turismo esperienziale. Si trova in uno dei luoghi naturali più belli in Italia, la Gola del Furlo, sulla strada consolare romana Flaminia che ancora collega Roma con la costa del mare Adriatico. Il nostro intervento ha riguardato una complessa progettazione strutturale e la realizzazione di una sopraelevazione, per la suite più prestigiosa della struttura. Siamo intervenuti con elementi parete di XLam e una copertura in lastre di legno lamellare sdraiato.